Ответы
Ответ дал:
1
6. Г
7.
Подставим значение 7
7^2+7р-35=0
49-35+7р=0
14+7р=0
7р=-14
р=-2
Ответ: - 2
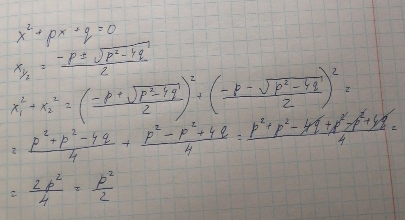
8. Во вложении
9. -
10. Чтобы был один ответ, нужно, чтобы дискриминант был равен 0. При значениях: 1, 2.5
Приложения:

moonshine69:
ты не ангел, но для меня ты стала святой
Вас заинтересует
1 год назад
1 год назад
1 год назад
1 год назад
3 года назад
3 года назад
8 лет назад