• Предмет: Алгебра
  • Автор: nizdan220
  • Вопрос задан 2 года назад

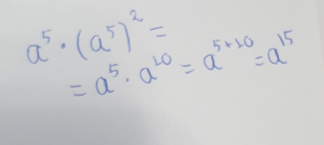
Помогите!!! Надо представить в виде многочлена: а^5 ∙ (а^5)^2

Ответы

Ответ дал: vityamath
0

Объяснение:

Решение на фотографии!!!

Приложения:
Вас заинтересует