Ответы
Ответ дал:
0
Ответ:
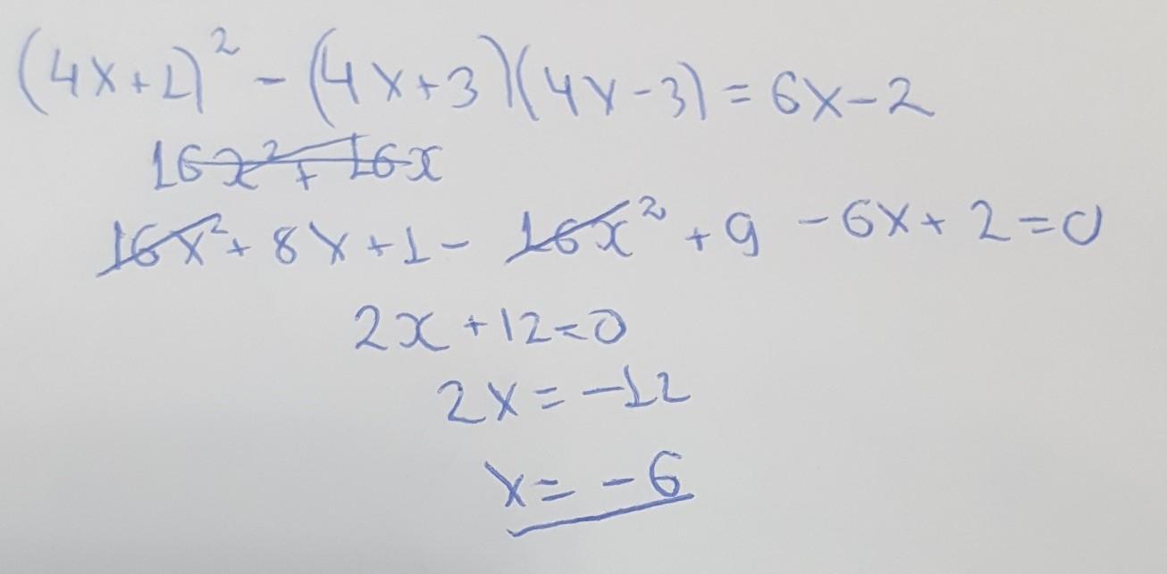
-6
Пошаговое объяснение:
Решение на данной фотографии.
Приложения:

Вас заинтересует
1 год назад
1 год назад
1 год назад
3 года назад
8 лет назад
8 лет назад