• Предмет: Математика
  • Автор: viktoriya0803
  • Вопрос задан 8 лет назад

Даю 25 баллов, помогите решить:
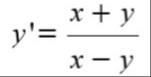
Найдите общее решение уравнения:

Приложения:

Ответа на этот вопрос пока нет. Попробуйте найти его через форму поиска.

Вас заинтересует