• Предмет: Алгебра
  • Автор: zelezovsky2005
  • Вопрос задан 2 года назад

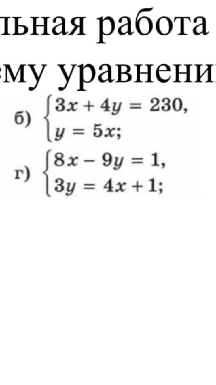
СРОЧНО.Решите методом подбора
ДАЮ 20 БАЛЛОВ

Приложения:

Ответы

Ответ дал: zlatafvl
0

Ответ:

б) 10, 50 вродк бы так


zelezovsky2005: Нужно полное решение
Ответ дал: Daniel777coll
1

Надеюсь, что все понятно объяснил.

Приложения:
Вас заинтересует