• Предмет: Алгебра
  • Автор: viktoriya0803
  • Вопрос задан 8 лет назад

Даю 20 баллов, помогите решить:
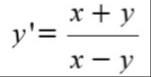
Найти общее решение уравнения:

Приложения:

Ответы

Ответ дал: zveryakovanata
0

Ответ: -1/2·ln (1+y²/x²) +arctg (y/x)= ln(x)

Объяснение:это неоднородное уравнение. Сделаем замену переменных: y=u·x, y' = u'x + u.

u+u'·x+(u·x+x)/(u·x-x) = 0

или

u·x/(u·x-x)+u+u'·x+x/(u·x-x) = 0 , вынесем х за скобки и сократим дроби, получим:  u/(u-1) +u +u'x + 1/ (u-1)=0  ⇒   u'x= -1/(u-1)  - u/(u-1) -u   ⇒                             u'x= -(1+u²)/(u-1) ⇒Преобразуем уравнение так, чтобы получить уравнение с разделяющимися переменными: -(u-1)/(u²+1)·du =1/x ·dx. Проинтегрируем обе части, получим: -1/2· ln(u²+1) +arctg(u) = ln(x)   Но у=ux ⇒u=y/x, значит:  -1/2·ln (1+y²/x²) +arctg (y/x)= ln(x)

Вас заинтересует