Диаметр круга равен 31 см. Значение числа π≈3,14.
Определи площадь этого круга (с точностью до десятых).
Ответы
Ответ дал:
0
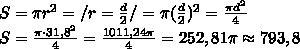
Ответ:
793,8 см²
Пошаговое объяснение:
Приложения:

Вас заинтересует
1 год назад
1 год назад
3 года назад
8 лет назад