• Предмет: Химия
  • Автор: nastyaqtv77
  • Вопрос задан 2 года назад

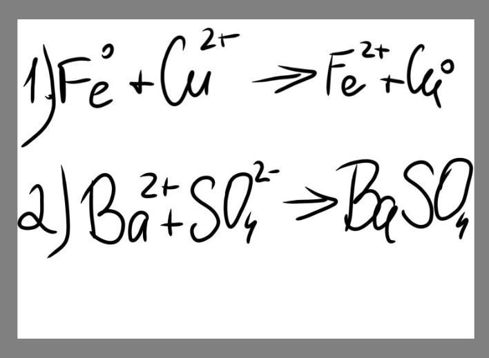
Напишите молекулярное уравнение,которое будет совпадать с сокращённым уравнением.

Приложения:

Ответы

Ответ дал: mayabasmanjyan
1
Fe + CuSO4 → Cu + FeSO4

Ba(NO3)2 + Na2SO4 → BaSO4 + 2NaNO3
Вас заинтересует