Ответы
Ответ дал:
0
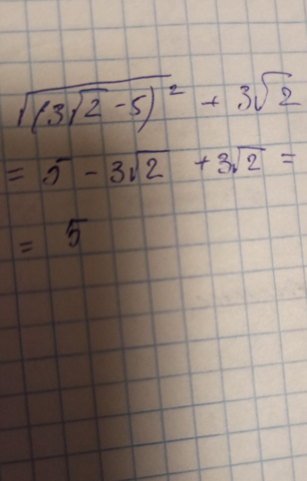
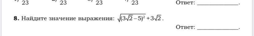
Ответ 5, все на фото......
Приложения:

Ответ дал:
0
Ответ 5
Пошаговое объяснение:
5-3√2 + 3√2
Сокротить противоположное выражение
Приложения:

Вас заинтересует
2 года назад
2 года назад
3 года назад
3 года назад
8 лет назад
8 лет назад
9 лет назад
9 лет назад