• Предмет: Геометрия
  • Автор: Tohal0
  • Вопрос задан 2 года назад

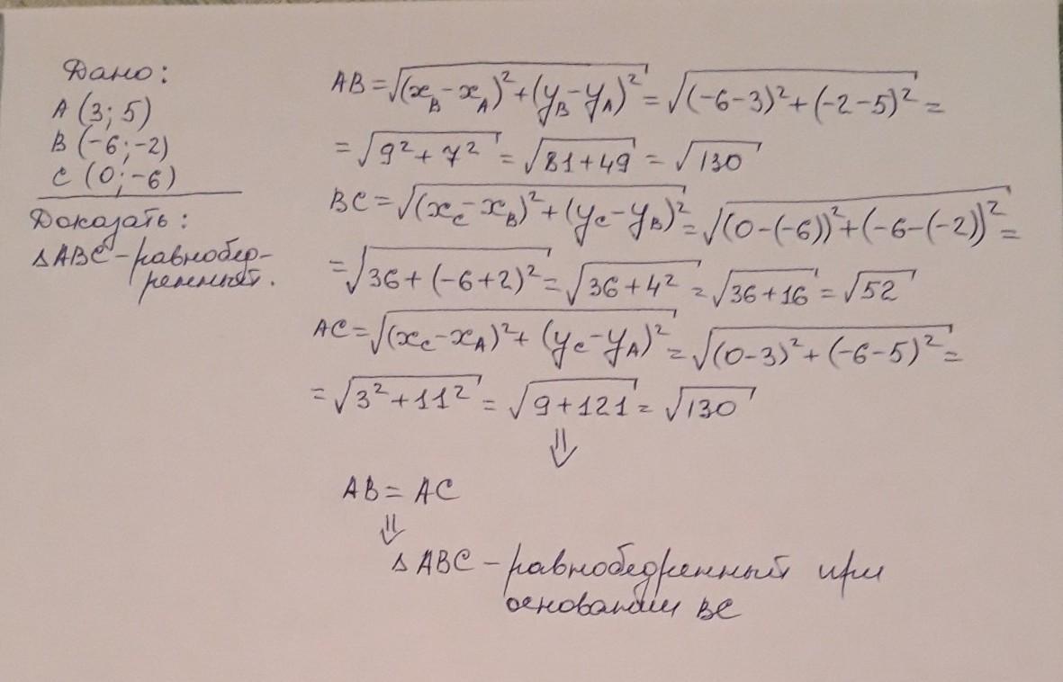
даны точки а(3,5) в(-6 -2) и с( 0 -6 ) докажите что треугольник ABC равнобедренный

Ответы

Ответ дал: sharofat0
4

Ответ:

Докажите, что АВС - равнобедренный треу-

гольник.

Приложения:
Вас заинтересует