• Предмет: Алгебра
  • Автор: rglushanin05
  • Вопрос задан 8 лет назад

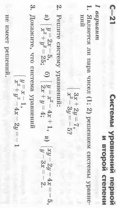
Даю 20 баловв кто ответит​

Приложения:

Ответа на этот вопрос пока нет. Попробуйте найти его через форму поиска.

Вас заинтересует