• Предмет: Алгебра
  • Автор: gmailmoon666
  • Вопрос задан 2 года назад

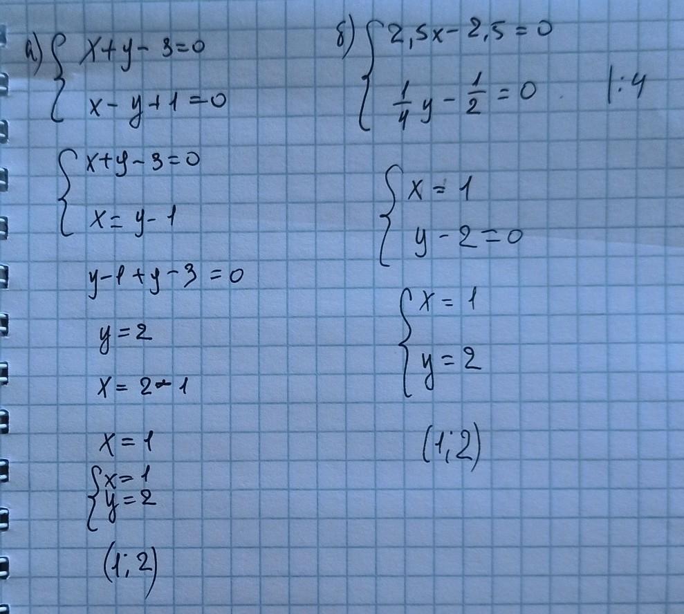
Покажите, что пара чисел(1:2) является решением системы
а) x+y-3=0
x-y+1=0
б) 2,5x-2,5=0
1/4y-1/2=0
ПЖЖЖЖЖЖЖЖЖЖЖЖЖЖЖ РЕШИТЕЕЕЕЕЕ

Ответы

Ответ дал: Тапч
2

ну вот крч, что-то с чем-то

Приложения:
Вас заинтересует