• Предмет: Алгебра
  • Автор: Sinoncat
  • Вопрос задан 2 года назад

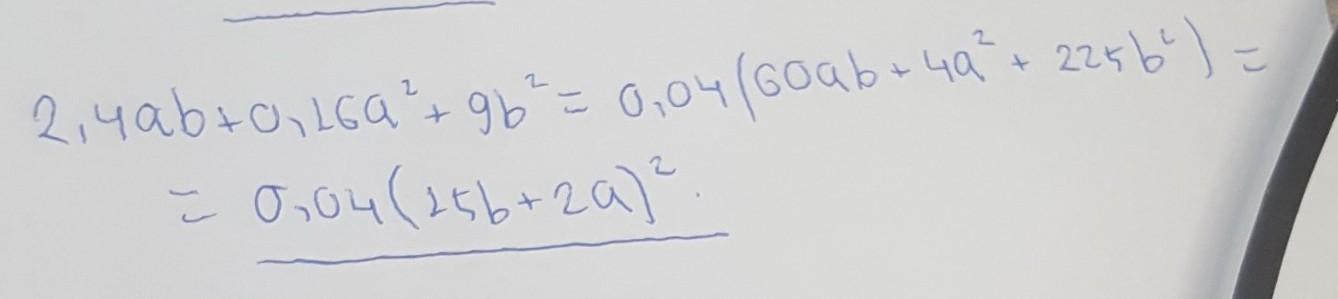
Разложить на множители
2,4ab+0,16a2+9b2

Ответы

Ответ дал: vityamath
1

Объяснение:

Решение на листочке!!!!!!

Приложения:
Вас заинтересует