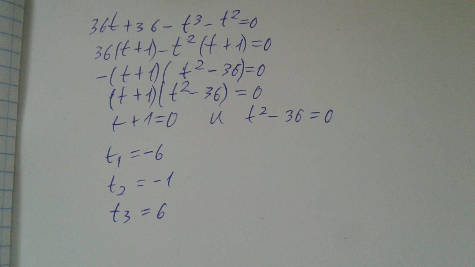
Реши уравнение 36t+36−t^3−t^2=0.
t1=
t2=
t3=
(Запиши корни уравнения в окошках в порядке возрастания.)
Приложения:

Ответы
Ответ дал:
3
Ответ:
t1=-6
t2=-1
t3=6
Объяснение:
Могу написать объяснение если что
Приложения:

xsidecs5:
Да, если можешь
Вас заинтересует
1 год назад
1 год назад
3 года назад
3 года назад