• Предмет: Математика
  • Автор: Sofys
  • Вопрос задан 2 года назад

По действиям пожалуйста
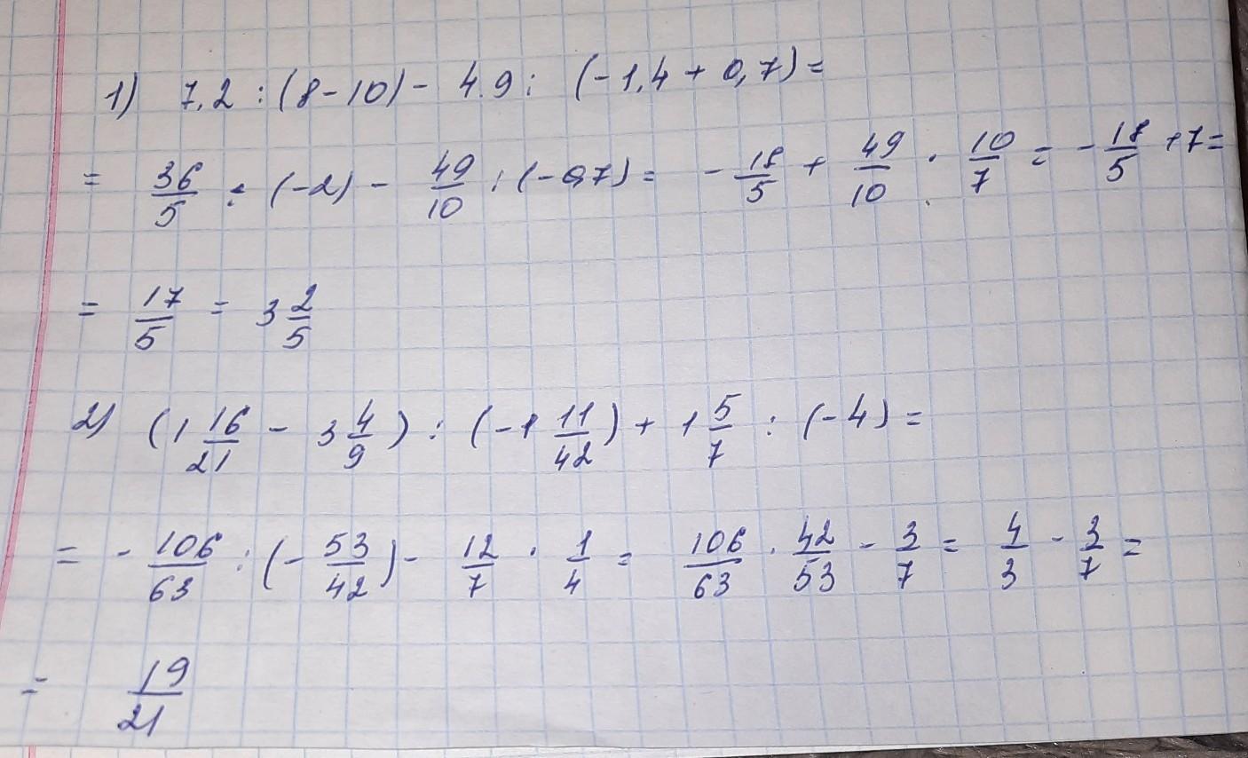
1) 7.2 : (8-10)-4.9 : (-1.4+0.7)=

2) (1 16/21-3 4/9) : (-1 11/42) + 1 5/7 : (-4)=

Ответы

Ответ дал: ksenia401155
0

1) 3 2/5

2) 19/21

..............

Приложения:
Вас заинтересует