• Предмет: Алгебра
  • Автор: Nah33
  • Вопрос задан 8 лет назад

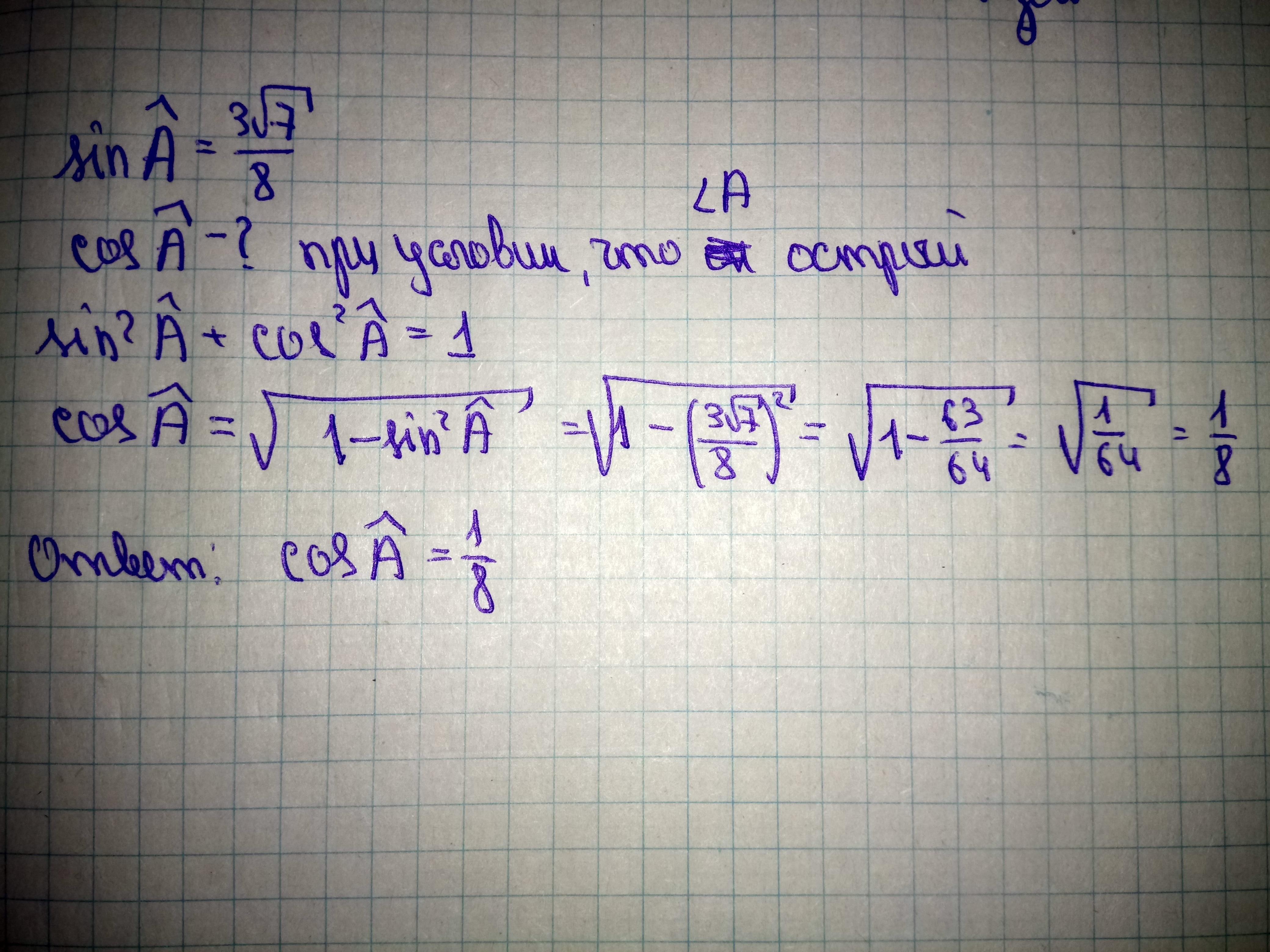
синус острого угла А треугольника АВС равен 3√7 : 8 найдите cos А. HELP!!!

Ответы

Ответ дал: Ignika
0

cosA ^2 = 1-sinA^2

cosA^2 = 1- 63/64(3√7 : 8 в квадрате)

cosA^2= 1/64

cosA^2= +- 0.125(берем положительное значение, так как А- острый угол)

ОТВЕТ: 0,125

Ответ дал: iren55omsk
0

Ответ:

Решение задания приложено

Объяснение:

Приложения:
Вас заинтересует