• Предмет: Алгебра
  • Автор: gulmira252010p30o0y
  • Вопрос задан 2 года назад

помогите пожалуйста​

Приложения:

Ответы

Ответ дал: sharofat0
1

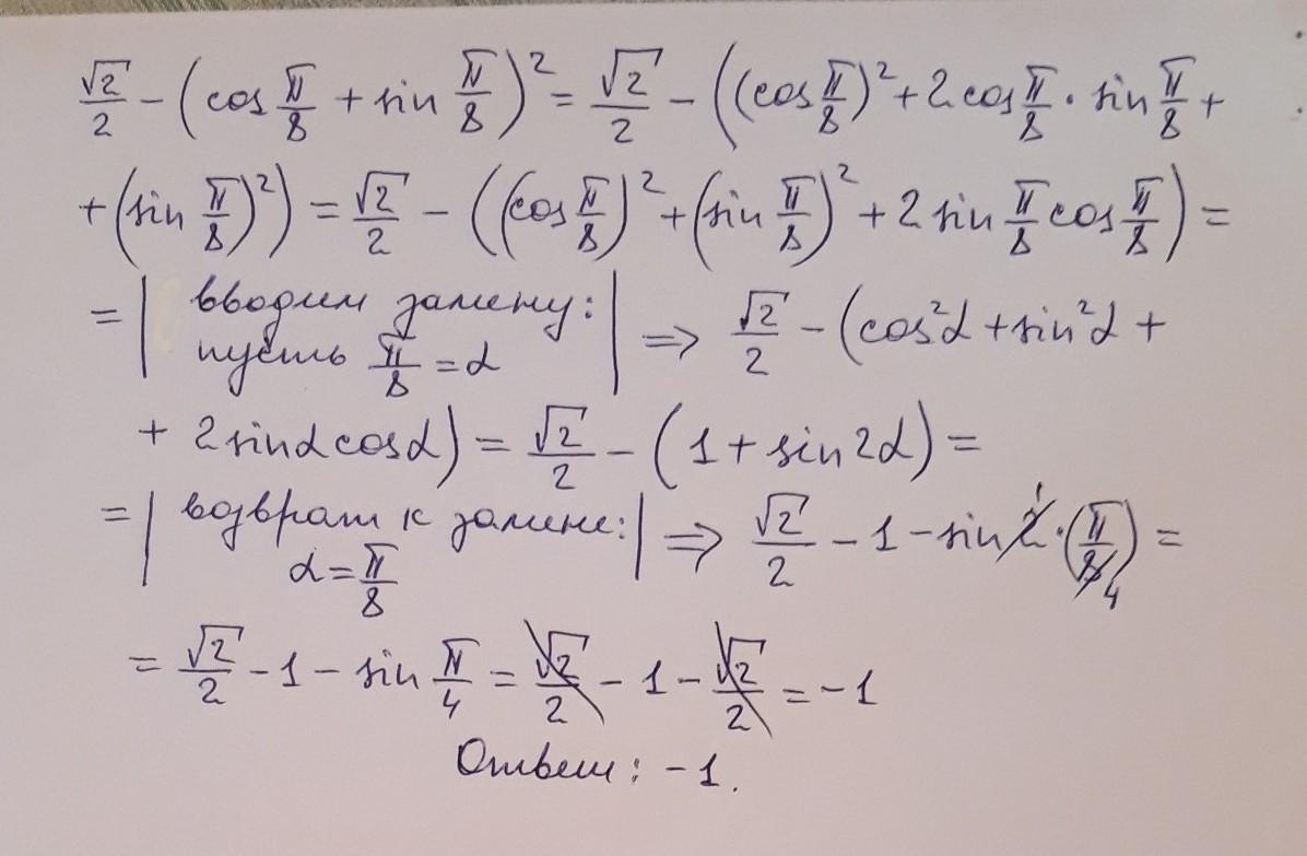
Ответ:

-1.

Упростите триг. выражение.

Приложения:

gulmira252010p30o0y: спасибо большое
Вас заинтересует