• Предмет: Алгебра
  • Автор: rfnzrfnzvfk
  • Вопрос задан 2 года назад

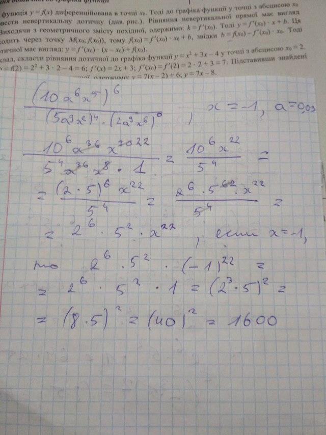
Упростите выражение и найдите его значение
СРОЧНО,ДАМ 20 БАЛЛОВ

Приложения:

rybnikovp: вот это что вверху одно?
rfnzrfnzvfk: да это все одно,я забыла убрать
rybnikovp: щас решу
rfnzrfnzvfk: если сможешь то и реши следуещее
rfnzrfnzvfk: тип где координатная и где выражение
rybnikovp: создай просто второй вопрос с тем вторым, ибо я не вижу всего условия, перефоткай
rfnzrfnzvfk: ты щас какое решаешь?верхнее7
rybnikovp: уже решил)

Ответы

Ответ дал: rybnikovp
1

Если что непонятно - пиши

Приложения:

rybnikovp: ввела ответ?
rfnzrfnzvfk: да
rybnikovp: правильно?
rfnzrfnzvfk: незнаю,потом узнаю,это подготовка сейчас ответы не узнать
rfnzrfnzvfk: я сделала вопрос на 2 задание
rybnikovp: не волнуйся, правильно)
rybnikovp: это какой класс?
rfnzrfnzvfk: 7 класс
rybnikovp: можешь не волноваться, тема легкая, хотя лучше учи, чтобы потом не доганять)
rfnzrfnzvfk: ок
Вас заинтересует