• Предмет: Математика
  • Автор: nikesss7
  • Вопрос задан 2 года назад

помогите пожалуйста

Приложения:

Ответы

Ответ дал: lyumpampusik
0
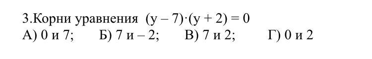
(у-7)(у+2)=0
у-7=0 Или у+2=0
у=7 у=-2


Вас заинтересует