• Предмет: Алгебра
  • Автор: fiue65
  • Вопрос задан 2 года назад

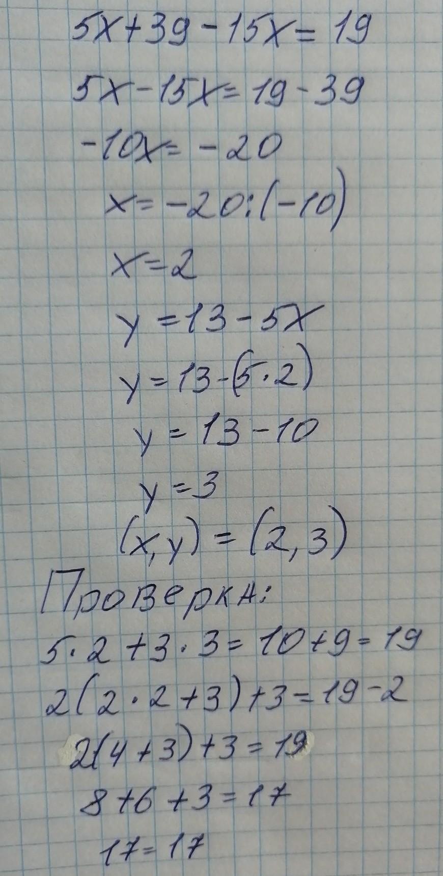
Решите систему уравнений
5x+3y=19,
{
2(2x+3)+y=19−x.
​x=?
y=?

Ответы

Ответ дал: klimenkovaliza7
0

Ответ:

В прикреплённом файле

Приложения:
Вас заинтересует