• Предмет: Геометрия
  • Автор: msonguuuuuurova
  • Вопрос задан 2 года назад

Помогите срочно!!!!!!!!!!!

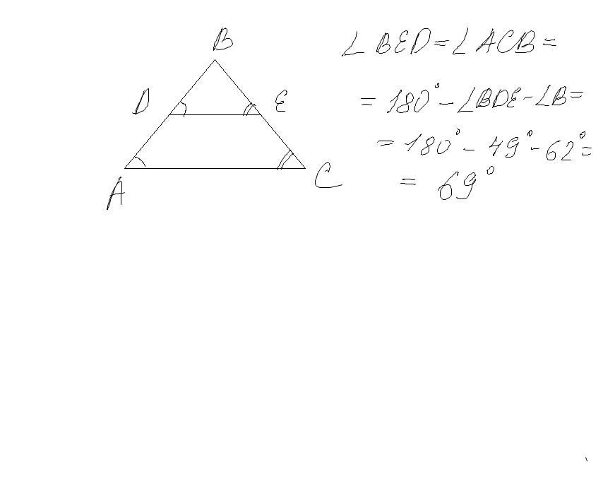
Нарисуй треугольник ABC и проведи DE ∥ AC. Известно, что:

D∈AB,E∈BC, ∢CBA=62°, ∢BDE=49°.

Вычисли ∡ ACB.

Ответы

Ответ дал: kalinintalin
0

Ответ:

∠ACB=69°

Объяснение:

Приложения:
Вас заинтересует