• Предмет: Математика
  • Автор: janeznay
  • Вопрос задан 2 года назад

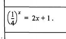
решить уравнение графически​

Приложения:

Ответы

Ответ дал: sabaka14885x5
0

Ответ:

Прикрепил фото. На пересечении там у=1

Вас заинтересует