• Предмет: Алгебра
  • Автор: DANIILPYNKO1
  • Вопрос задан 2 года назад

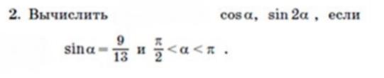
Вычислить (алгебра 10 класс)

Приложения:

Ответы

Ответ дал: LuciferMotningstar
1

sina=\frac{9}{13} \;;\;\frac{\pi}{2} < a <\pi\\\\cosa=-\sqrt{1-sin^2a} = -\sqrt{1-(\frac{9}{13})^2 } =-\frac{2\sqrt{22}}{13} \\\\sin2a=2sina\;cosa=2*\frac{9}{13} * (-\frac{2\sqrt{22}}{13})=-\frac{36\sqrt{22}}{169}


ClarisVerbis: Здравствуйте. Можете помочь?https://znanija.com/task/36130590
Вас заинтересует