• Предмет: Алгебра
  • Автор: glotovaandriana
  • Вопрос задан 2 года назад

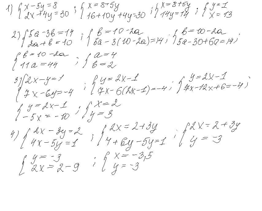
Решите методом подстановки систему уравнений:

1)
x – 5y = 8,
2x + 4y = 30;
3)
5a – 3b = 14,
2a + b = 10;
2)
2x – y = 1,
7x – 6y = –4;
4)
2x – 3y = 2,
4x – 5y = 1.
помогите пожалуйста.

Ответы

Ответ дал: kalinintalin
18

Ответ:

на фото

Объяснение:

Приложения:

glotovaandriana: спасибо большое.
Ответ дал: iskhakovparty2
23

Ответ: на фото , если ответ понравился можешь сделать его лучшим , благодарю

Приложения:

glotovaandriana: спасибо большое.
dybalajuveabibas: спасибо большое ♥️как тебя найти ♥️♥️♥️ лучшая просто лучшая обожаю тебя
Вас заинтересует