• Предмет: Математика
  • Автор: gorbachyov2007
  • Вопрос задан 8 лет назад

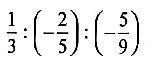
Помогите решить срочно! ДАЮ 20 БАЛЛОВ!!!

Приложения:

Ответы

Ответ дал: ulyadanil777
0

Ответ:

3/2

Пошаговое объяснение:

1/3*5/2*9/5

1/3*1/2*9

Сокращаем 3 и 9

1/2*3=1/2*3/1=3/2

Вас заинтересует