• Предмет: Алгебра
  • Автор: hokagegeng
  • Вопрос задан 2 года назад

СРОЧНО!! ПОМОГИТЕ... УМОЛЯЮ.... НЕ ПРОХОДИТЕ МИМО.... ВЫ ПОСЛЕДНЯЯ НАДЕЖДА

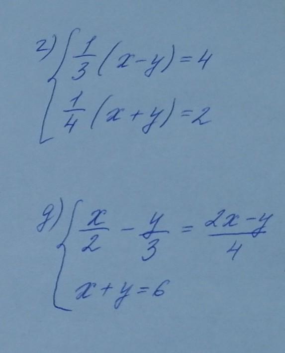
РЕШИТЕ СИСТЕМУ ЛИНЕЙНЫХ УРАВНЕНИЙ С ДВУМЯ ПЕРЕМЕННЫМИ МЕТОДОМ ПОДСТОНОВКИ

ПРОШУ... ОЧЕНЬ НАДО РЕШЕНИЕ...СРОЧНО!!! ​

Приложения:

Ответы

Ответ дал: olejnikovae247
1

Ответ:

это правильно, уверяю тебя))

Объяснение:

Приложения:

hokagegeng: а вы можете помочь с другим номером?
hokagegeng: прошу
hokagegeng: очень надо!
hokagegeng: поможете?
Ответ дал: Vika2746
1

Ответ: расписала как могла

Объяснение:

Приложения:

hokagegeng: А вы сможете помочь мне с другим номером?
hokagegeng: прошу... ОЧЕНЬ НАДО
hokagegeng: умоляю
hokagegeng: поможете?
Вас заинтересует