• Предмет: Алгебра
  • Автор: 123123123qqqqqq1
  • Вопрос задан 2 года назад

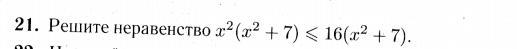
Помогите с уравнением из 2-ой части.

Приложения:

Ответы

Ответ дал: Ndry
1

Ответ:

xє[-4;4]

Объяснение:

x²*(x²+7)≤16(x²+7)

x²*(x²+7)-16(c²+7)≤0

(x²+7)*(x²-16)≤0

xє∅

xє[-4;4]

Ответ дал: irinazarubina0515
0

................

Объяснение:

......

Приложения:
Вас заинтересует