• Предмет: Алгебра
  • Автор: onlygame442
  • Вопрос задан 2 года назад

Пж помогите! Вопрос в закрепе, даю 40 баллов.

Приложения:

Ответы

Ответ дал: Mmalinkaa1
1

Ответ:

Объяснение:

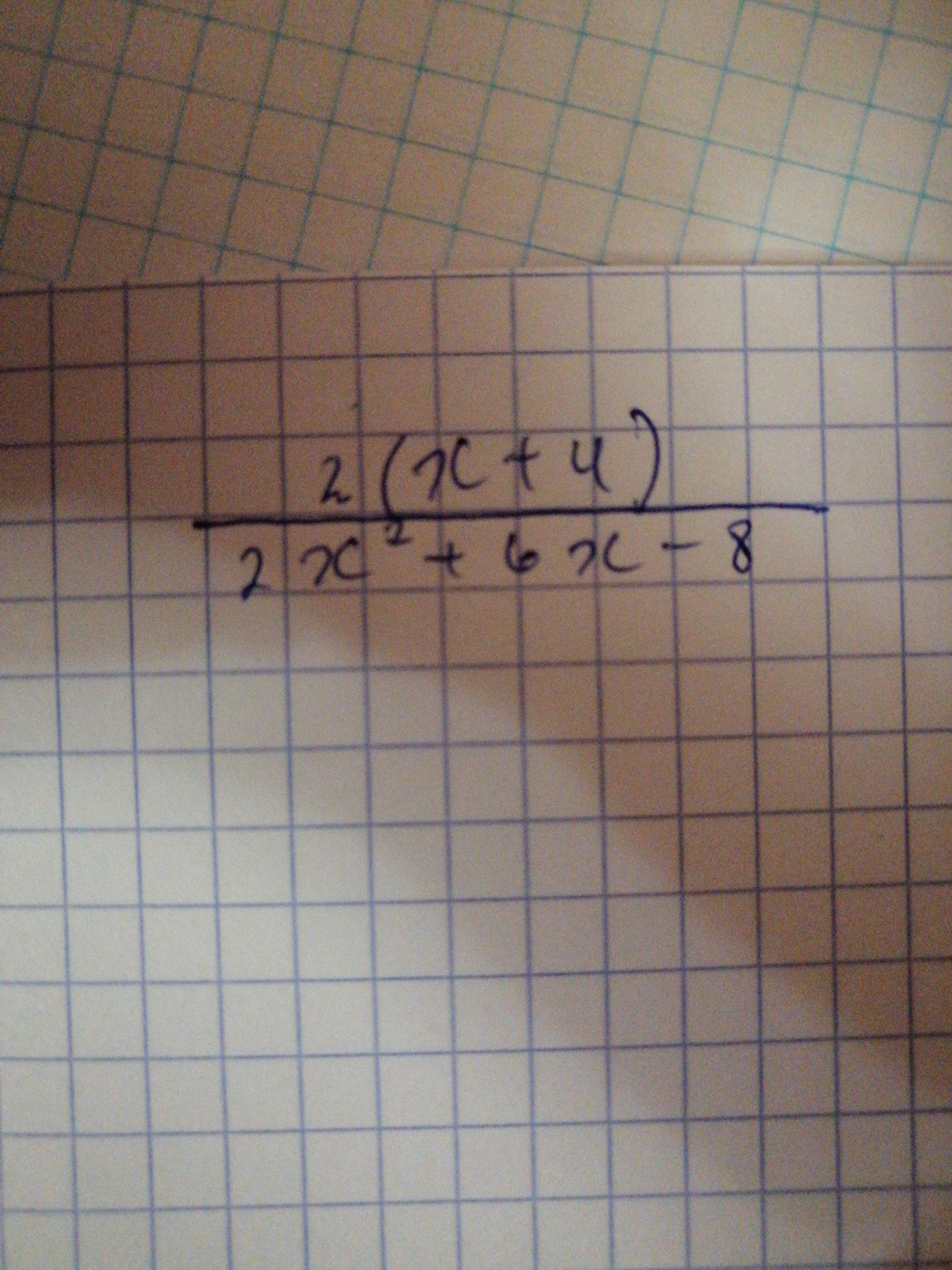
=\frac{2(x+4)}{2(x^{2}+3x-4) } =\frac{x+4}{x^{2} +4x-x-4} =\frac{x+4}{x*(x+4)-(x+4)} =\frac{x+4}{(x+4)*(x-1)}=\frac{1}{x-1}

Вас заинтересует