• Предмет: Физика
  • Автор: lehalabusovp2hwz4
  • Вопрос задан 8 лет назад

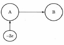
К капле A присоединилась капля с зарядом -2e, в результате чего образовалась капля B (см. рис.). Заряды капель равны -e и +e. Какая из капель имеет(-ла) заряд +e?

Приложения:

Ответа на этот вопрос пока нет. Попробуйте найти его через форму поиска.

Вас заинтересует