• Предмет: Алгебра
  • Автор: kavainao4en
  • Вопрос задан 2 года назад

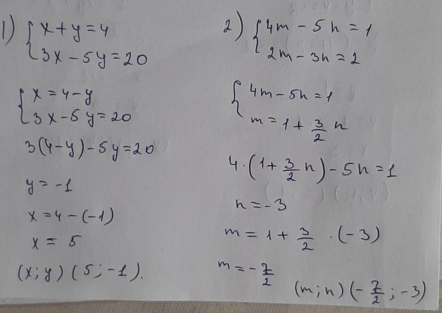
Решите способом сложения систему уравнений:

Приложения:

Ответы

Ответ дал: raximovjasur508
0

Объяснение:

вот ответ перепиши на фото

Приложения:
Вас заинтересует