• Предмет: Математика
  • Автор: ritkamillaxa
  • Вопрос задан 2 года назад

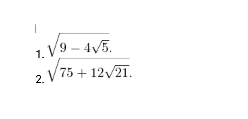
помогите пожалуйста скорее​

Приложения:

Ответы

Ответ дал: allol118
1
Ответ на фото , надеюсь помогла
Приложения:

ritkamillaxa: скинешь решение?
allol118: Я бы с удовольствием , но тут нельзя отправлять фото, а так я не могу написать:(((
ritkamillaxa: а ты отправи ответом на вопрос
ritkamillaxa: как ты первую преслала
allol118: Я один раз могу ответить
ritkamillaxa: у меня на странице есть ещё вопросы кинешь под любой пж
allol118: А как я могу посмотреть твои вопросы ?
ritkamillaxa: зайдите ко мне на в профиль там будет ВОПРОСы на любой жмешь и отвечаешь
ritkamillaxa: ну что?
ritkamillaxa: помогите пожалуйста скорее​
https://znanija.com/task/36145973?utm_source=android&utm_medium=share&utm_campaign=question
Вас заинтересует