• Предмет: Алгебра
  • Автор: sofiyka8mazur
  • Вопрос задан 2 года назад

даю 20 балов за решение

Приложения:

Ответы

Ответ дал: zveryakovanata
0

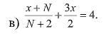
Ответ: 2

Объяснение: (х+N)/(N+2) +3x/2 = 4⇒2(x+N) +3x(N+2)= 8(N+2) ⇒ 2x+2N+3Nx+6x =8N+16 ⇒ 2x+3Nx+6x =8N+16 -2N ⇒ (8+3N)·x= 6N+16 ⇒ (8x+3N) · x = 2(3N+8) ⇒ x =2

Вас заинтересует