• Предмет: Алгебра
  • Автор: alyamir96
  • Вопрос задан 2 года назад

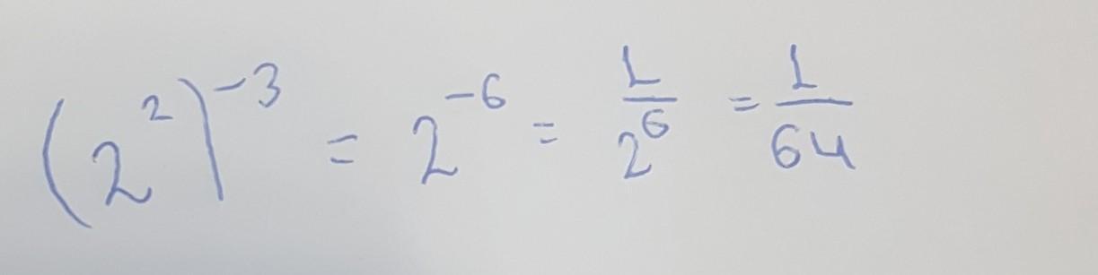
Найдите значение выражения.
(2"2)-3 степени

Ответы

Ответ дал: vityamath
1

Объяснение:

Решение на фотографии

Приложения:

alyamir96: спасибо!
Вас заинтересует