• Предмет: Математика
  • Автор: ibrashevaaigul
  • Вопрос задан 2 года назад

Как решить 1/6 от 120см? Что это означает?

Ответы

Ответ дал: egkirill07082
0

Ответ:

1\6 это 20 см

Пошаговое объяснение:

Ответ дал: Человек999999
0

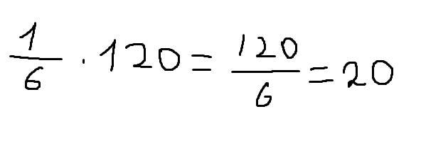
Ответ:

20

Пошаговое объяснение:

Это означает \frac{1}{6}*120

Приложения:

sdanyashvets264: кароче это нужно взять шестую часть от всей длины (120см) тоисть 20 см
Человек999999: на простом языке да, а на умном это означает произведение
Вас заинтересует