Ответы
                                            Ответ дал: 
                                                                                    
                                        
                                            
                                                
                                                
                                                
                                                    0
                                                
                                            
                                        
                                    
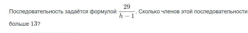
                                        Во-первых, h не равно 1, так как тогда знаменатель обращается в 0, а на 0 делить нельзя.
Во-вторых, все числа с промежутка (- бесконечности; 1) придают отрицательные значения последовательности.
Значит нам нужно методом подбора определить числа, которые могли бы подходить под h. При этом они лежат в промежутке (1; + бесконечности).
Проведя подсчёты, можно понять, что подходят числа 2 и 3 (так как число должно быть целым, то мы не берём его с десятыми, сотыми, тысячными и т.д.), то будет только 2 члена.
Ответ: 2.
                                        
                                        
                                Во-вторых, все числа с промежутка (- бесконечности; 1) придают отрицательные значения последовательности.
Значит нам нужно методом подбора определить числа, которые могли бы подходить под h. При этом они лежат в промежутке (1; + бесконечности).
Проведя подсчёты, можно понять, что подходят числа 2 и 3 (так как число должно быть целым, то мы не берём его с десятыми, сотыми, тысячными и т.д.), то будет только 2 члена.
Ответ: 2.
Вас заинтересует
                
                        2 года назад
                    
                
                        2 года назад
                    
                
                        3 года назад
                    
                
                        8 лет назад
                    
                
                        8 лет назад
                    
                
                        9 лет назад