• Предмет: Математика
  • Автор: kolyamusa
  • Вопрос задан 2 года назад

Найти пределы подробное решение кто сделает огромное спасибо

Приложения:

Ответы

Ответ дал: aastap7775
1

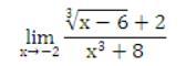
\lim_{x \to -2} \frac{\sqrt[3]{x-6}+2 }{x^3+8} =  \lim_{x \to -2} \frac{\frac{1}{3}(x-6)^{-\frac{2}{3}}  }{3x^2} = \lim_{x \to -2} \frac{1}{9x^2\sqrt[3]{(x-6)^2}} =  \frac{1}{144}\\ Answer: \frac{1}{144}

Вас заинтересует