Ответы
Ответ дал:
2
Ответ:
3
Объяснение:
Если не ошибаюсь то "3"
Ddostmukhamedov:
да это "3"
Ответ дал:
2
Ответ:
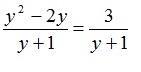
у=3
Объяснение:
Перенесём константу в левую часть равенства, получим:
у 2–2у=3 (у 2 это у в квадрате)
разломим на множители:
у(у+1)-3(у+1)
ОТВЕТ: у=3
у=3
Объяснение:
Перенесём константу в левую часть равенства, получим:
у 2–2у=3 (у 2 это у в квадрате)
разломим на множители:
у(у+1)-3(у+1)
ОТВЕТ: у=3
разложим**
Вас заинтересует
2 года назад
2 года назад
2 года назад
2 года назад
3 года назад
3 года назад
9 лет назад