• Предмет: Физика
  • Автор: djtumanoff
  • Вопрос задан 11 лет назад

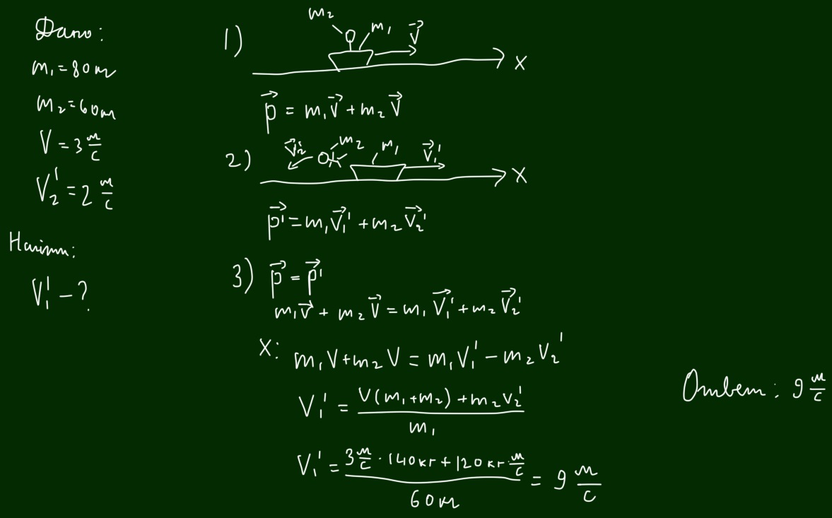
С лодки массой 80 кг ныряет человек в горизонтальном направлении массой 60 кг. Скорость лодки 3 м/с.
Какой станет скорость лодки после прыжка человека, если он прыгает с кормы со скоростью 2 м/с?

Ответы

Ответ дал: nikolac
0
Решение на картинке.
Приложения:
Ответ дал: djtumanoff
0
спасибо
Ответ дал: nikolac
0
Пожалуйста.
Вас заинтересует