• Предмет: Алгебра
  • Автор: nekleenovaulia
  • Вопрос задан 2 года назад

Раскройте скобки! СРОЧНО!!!!ДАЮ 20 БАЛЛОВ
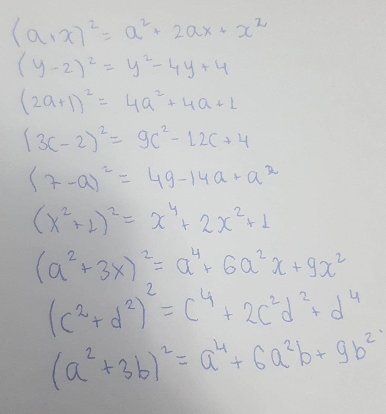
(a+x)²=
(y-2)²=
(2a+1)²=
(3c-2)²=
(7-a)²=
(x²+1)²=
(a²+3x)²=
(c²+d²)=
(a²+3b)²

Ответы

Ответ дал: vityamath
2

Скобки все раскрыты в тетради,ты забыл где c^2+d^2 степень поставить двойки.

Приложения:

Аноним: Здравствуйте. Поможете с геометрией? https://znanija.com/task/36167148
Вас заинтересует