• Предмет: Алгебра
  • Автор: makumazan0
  • Вопрос задан 2 года назад

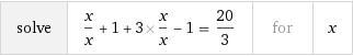
x/x+1+3x/x-1=20/3 решить уравнение

Ответы

Ответ дал: valeriamastaler76
0

Данное уравнение не имеет решений

Приложения:
Вас заинтересует