• Предмет: Математика
  • Автор: jul45
  • Вопрос задан 2 года назад

Помогите решить уравнение а)

Приложения:

Ответы

Ответ дал: TankistBlitz2020
3

Решение:

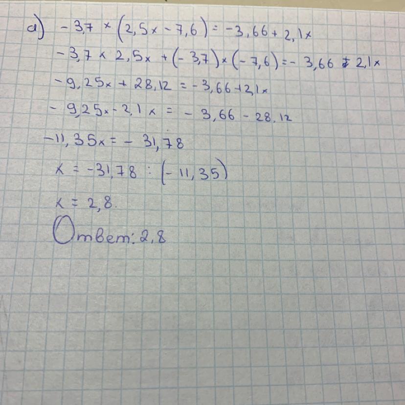
а) - 3,7 × (2,5x - 7,6) = - 3,66 + 2,1x;

   - 3,7 × 2,5x + (- 3,7) × (- 7,6) = - 3,66 + 2,1x;

   - 9,25x + 28,12 = - 3,66 + 2,1x;

   - 9,25x - 2,1x = - 3,66 - 28,12;

   - 11,35x = - 31,78;

   x = - 31,78 ÷ (- 11,35);

   x = 2,8.

  Ответ: 2,8.

_____________________________

Удачи Вам! :)

Ответ дал: noreply49
1
Ответ на фотографии,
Приложения:
Вас заинтересует