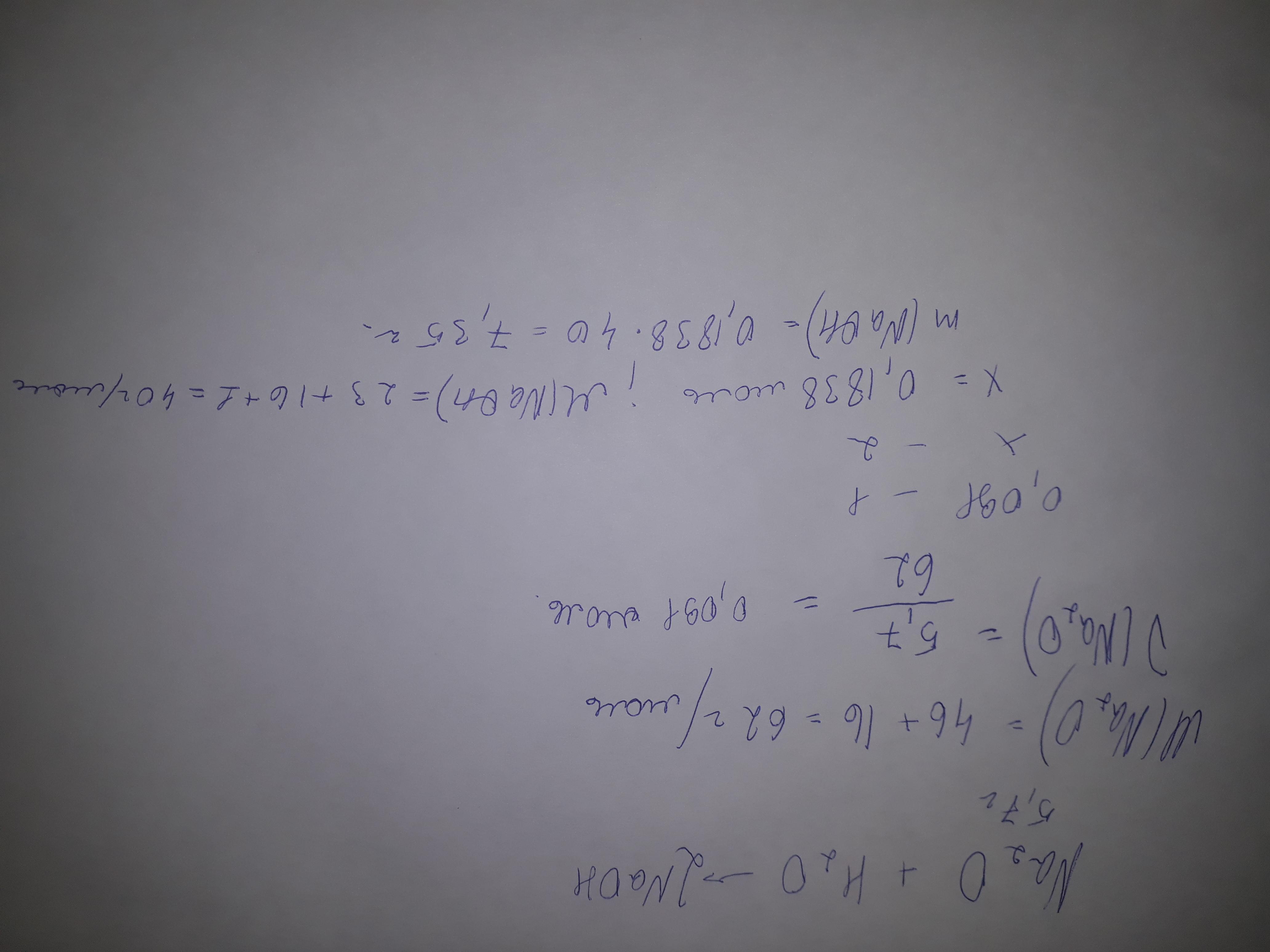
При взаимодействии оксида натрия массой 5,7 г. с водой, образовалось щелочь. Определите массу и количество щелочи.
Ответы
Ответ дал:
1
Ответ:
7,35г
Объяснение:
на фотографии
Приложения:

serafim6666:
Вай мля от души
Вас заинтересует
1 год назад
1 год назад
3 года назад
8 лет назад