• Предмет: Алгебра
  • Автор: karinakhalikova2006
  • Вопрос задан 2 года назад

Помогите пожалуйста с алгеброй очень надо завтра сдавать.

Приложения:

Ответы

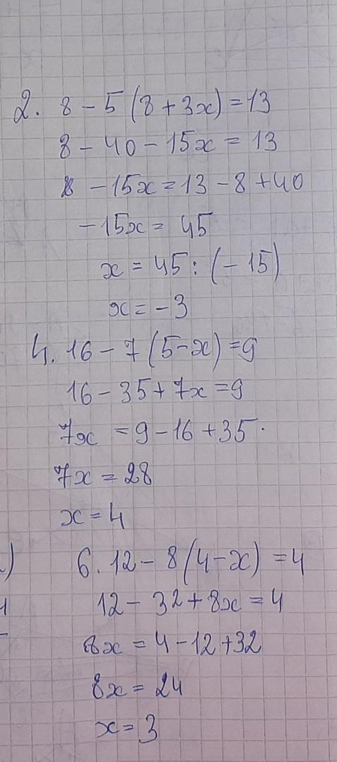
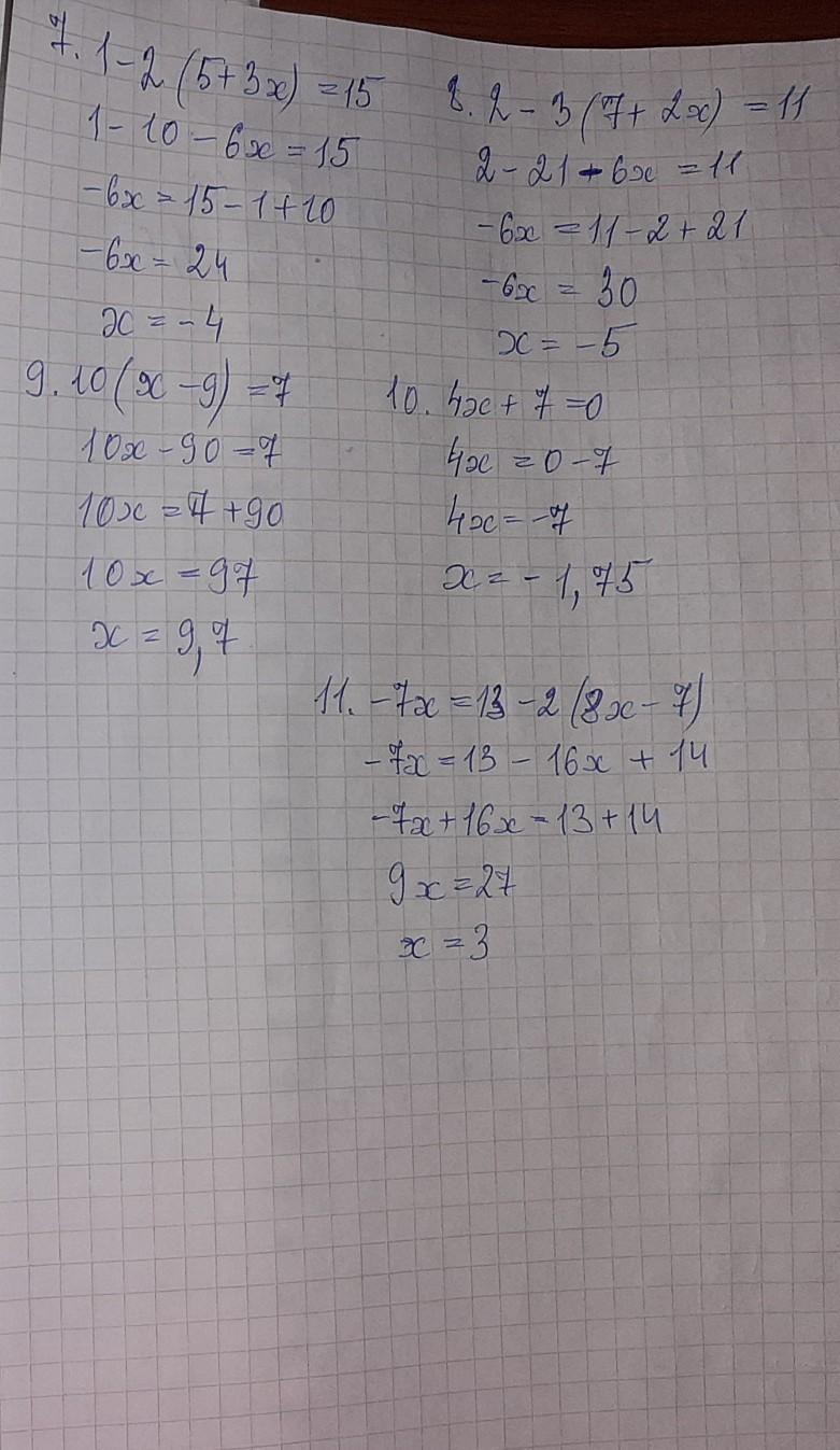
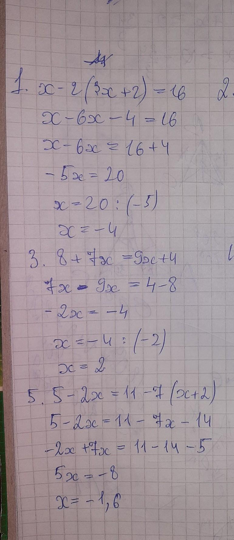
Ответ дал: Аноним
2

Ответ:

Сори, что так, надеюсь разберёшся)

Они там не по-порядку расположены, смотри, а то ошибёшся

Приложения:

karinakhalikova2006: спасиб только 2,4 ге видно в так спс
Вас заинтересует