Ответы
Ответ дал:
0
Ответ:
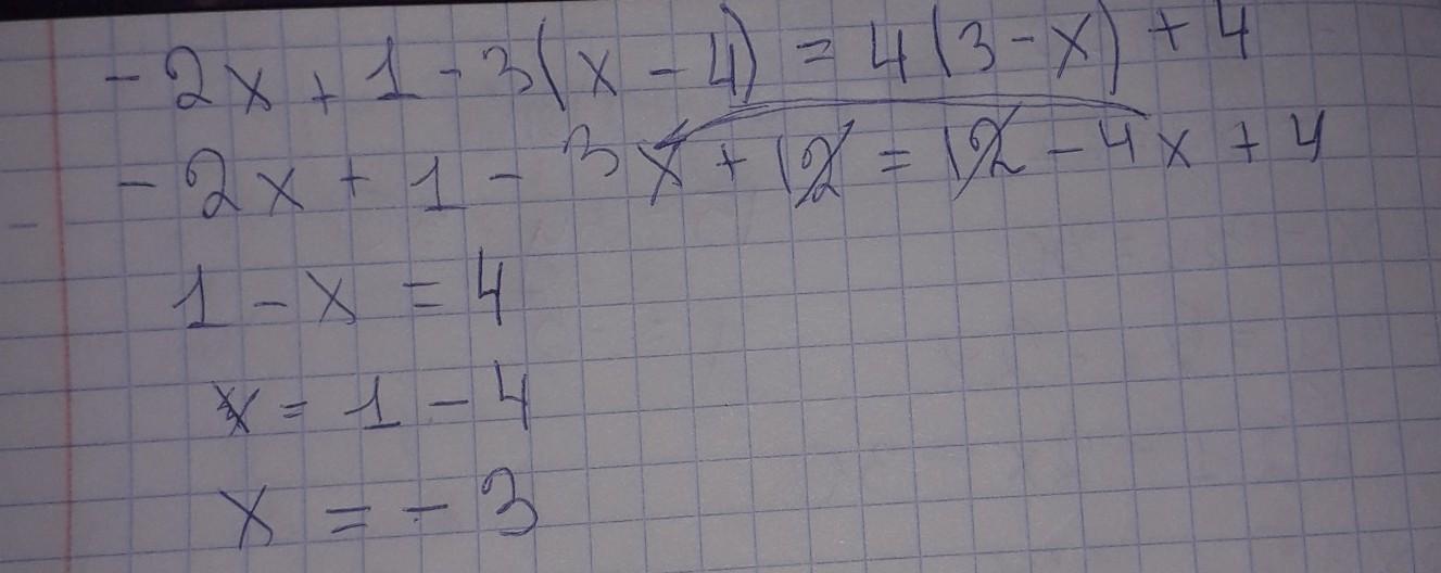
-2x+1-3(x-4)=4(3-x) +4
-2x+1-3х+12=12-4х+4
1-х=4
х=1-4
х=-3
Комментарий:
Для того, чтобы перенести какое-то слагаемое на "противоположную" сторону уравнения, надо знак слагаемого превратить в противоположный.
Приложения:

Вас заинтересует
1 год назад
1 год назад
1 год назад
3 года назад
8 лет назад
8 лет назад