• Предмет: Алгебра
  • Автор: superstellaukrnet
  • Вопрос задан 2 года назад

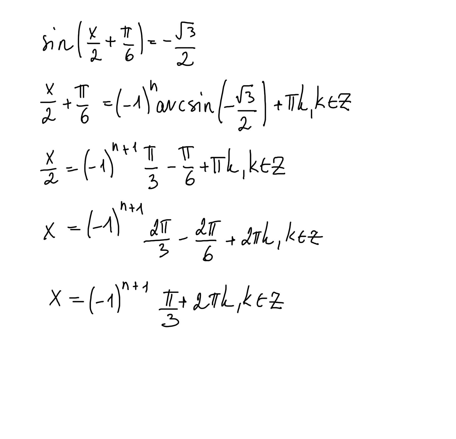
Решите уравнение sin(x/2+п/6)=-√3/2

Ответы

Ответ дал: ksushagut
1

Ответ: x=(-1)^(n+1)* п/3+2пk

Приложения:
Вас заинтересует