• Предмет: Алгебра
  • Автор: wgeds3
  • Вопрос задан 2 года назад

даю 35 балов помогите решить

Приложения:

Ответы

Ответ дал: anlekayo
0

Объяснение:

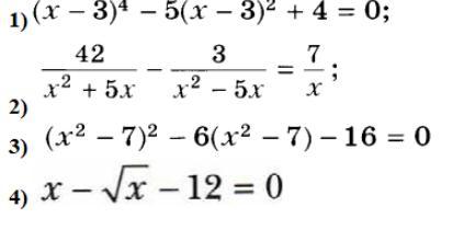
1) (х-3)^4-5(х-3)^2+4=0

t=(x-3)^2

t^2-5t+4=0

t=1; t=4

(x-3)^2=1 (x-3)^2=4

x1=2 x3=1

x2=4 x4=5

2) 42/x^2+5x - 3/x^-5x =7/x

x ≠ 0, x≠-5, x≠5

42/x^2 +5x - 3/x^2-5x - 7/x = 0

42/x×(x+5) - 3/x×(x-5) - 7/x =0

42(x-5)-3(x+5)-7(x+5)×(x-5)/x×(x+5)×(x-5)=0

42x-210-3x-15-7x^2+175/x×(x+5)×(x-5)=0

39x-50-7x/x×(x+5)×(x-5)=0

39x-50-7x=0

-7x^2 +39x-50=0 |×(-1)

7x^2-39x+50=0

7x-14x-25x+50=0

7x×(x-2)-25x(x-2)=0

(x-2)×(7x-25)=0

x-2=0 7x-25=0

x1 =2 x2=25/7; x≠0, x≠-5, x≠5

3) (x^2-7)^2 - 6(x^2 - 7)-16=0

t=x^2-7

t^2-6t-16=0

t=-2 t=8

x^2-7=-2 x^2-7=8

(КК- квадратный корень,(у меня знака нет) )

x1=-КК5 х3=-КК15

x2=КК5 х4=КК15

4) х-ККх-12=0

х≠(Є) R

Вас заинтересует