• Предмет: Информатика
  • Автор: nadya3445689
  • Вопрос задан 2 года назад

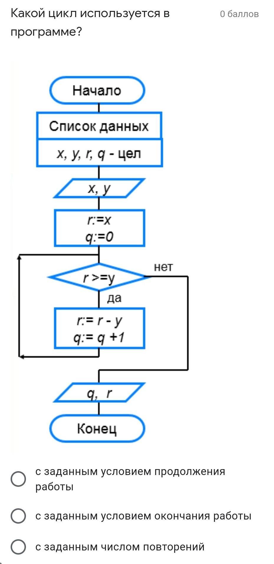
какой цикл используется в программе ?

Приложения:

Ответы

Ответ дал: zopilotcom666
1

Ответ:

с заданным условием продолжения работы

Вас заинтересует