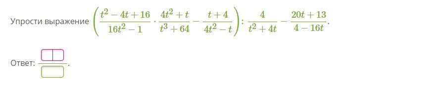
Помогите с алгеброй, срочно!
Приложения:

rybnikovp:
ща решу
Ответы
Ответ дал:
2
Ответ:
t(4t²-3t) + 3(t+3) / 4(4t-1)
/ - это знак деления в дробях, если что
Вас заинтересует
1 год назад
1 год назад
1 год назад
3 года назад
3 года назад
8 лет назад