• Предмет: Алгебра
  • Автор: Аноним
  • Вопрос задан 2 года назад

Помогите срочно надо!!!!!

Приложения:

Ответы

Ответ дал: vitalik2112
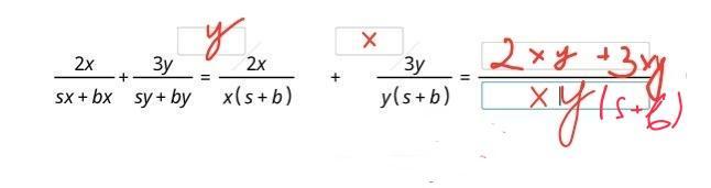
1

Ответ:

Объяснение: на изображении

Приложения:

vitalik2112: дальше 5xy/xy(s+b)=5/(s+b)
Вас заинтересует