Помогите!!! Решите методом подстановки систему уравнений
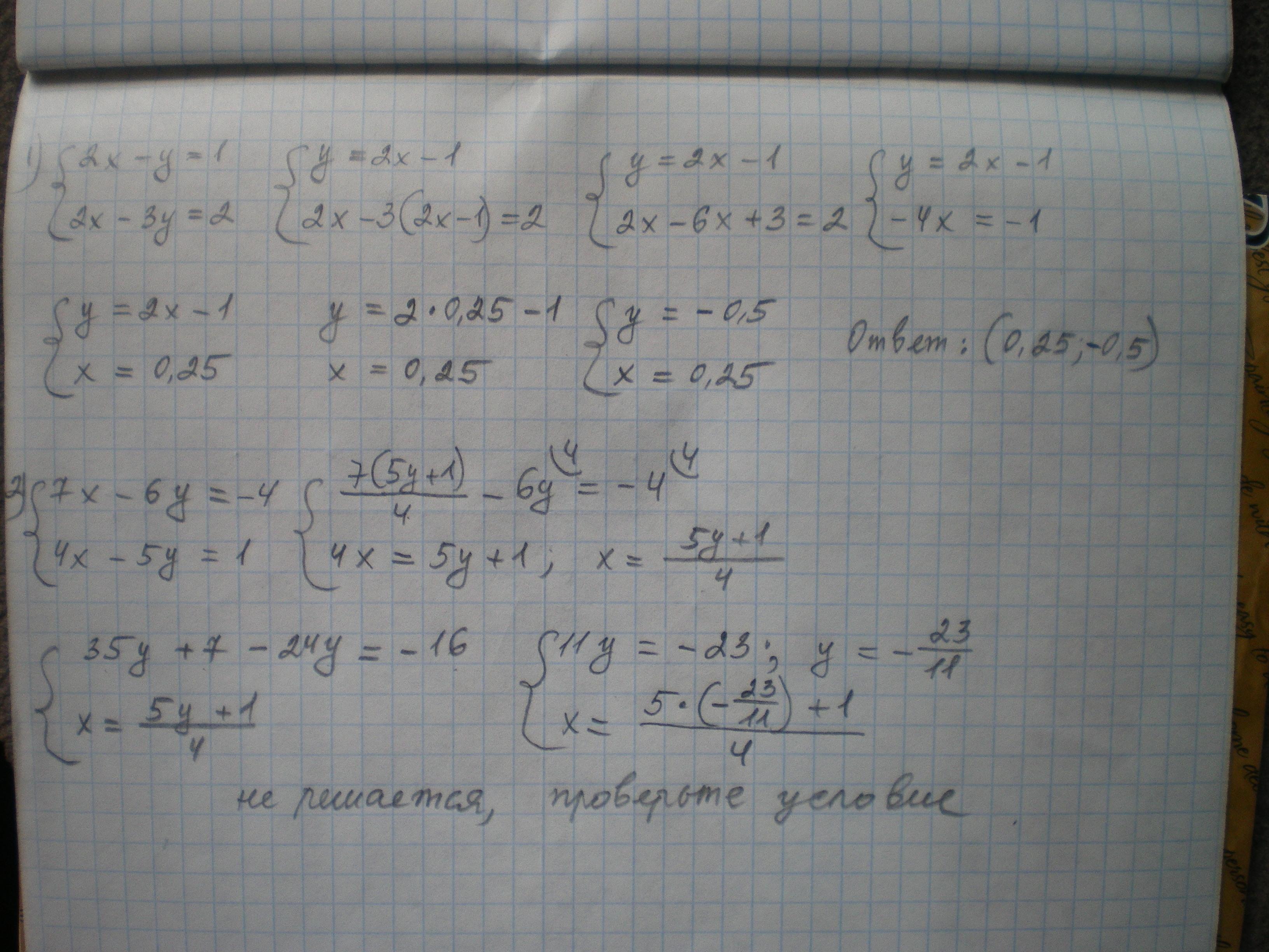
2х - у = 1 2х - 3у = 2
7х - 6у = -4 4х - 5у = 1
Ответы
Ответ дал:
0
Ответ:
(0,25; -0,5)
Объяснение:
Приложения:
Вас заинтересует
2 года назад
2 года назад
2 года назад
3 года назад
3 года назад
9 лет назад
9 лет назад